• Предмет: Алгебра
  • Автор: songiul54
  • Вопрос задан 2 года назад

Срочно даю 25 балов
Зоране спасибо!
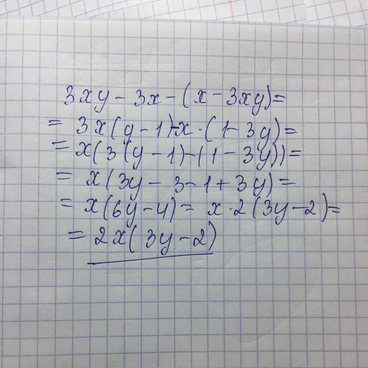
Упростите выражение 3ху –3х – ( х−3 ху)

Ответы

Ответ дал: Apimenov01
1

Ответ:

3xy-3x-(x-3xy)=3xy-3x-x+3xy=6xy-4x=2x(3y-2)


songiul54: Спасибо, а то из - за этих зачётов не могу помочь брату с алгеброй)
Ответ дал: 203030282828200
1

Решение на фото. Надеюсь Вам помог!
Приложения:
Вас заинтересует