• Предмет: Алгебра
  • Автор: Den4ikaa
  • Вопрос задан 8 лет назад

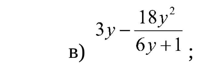
Знайдіть, при яких значеннях змінної має зміст вираз:пж нужна помощь даю 25 балов

Приложения:

Ответа на этот вопрос пока нет. Попробуйте найти его через форму поиска.

Вас заинтересует