• Предмет: Математика
  • Автор: sandrogor
  • Вопрос задан 8 лет назад

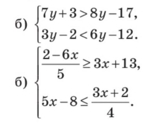
Помогите
это один из нескольких вопросов, посмотрите мой аккаунт, там все вопросы​

Приложения:

Ответа на этот вопрос пока нет. Попробуйте найти его через форму поиска.

Вас заинтересует