• Предмет: Математика
  • Автор: laptevdan679
  • Вопрос задан 8 лет назад

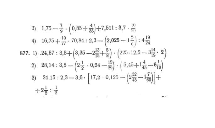
дам 15 баллов помогите пж решите хоть чтонибудь!!!

Приложения:

Ответа на этот вопрос пока нет. Попробуйте найти его через форму поиска.

Вас заинтересует