• Предмет: Алгебра
  • Автор: lerockalisova
  • Вопрос задан 2 года назад

Поможіть, 4 завдання, неможу виконати​

Приложения:

Ответы

Ответ дал: anizikova
1

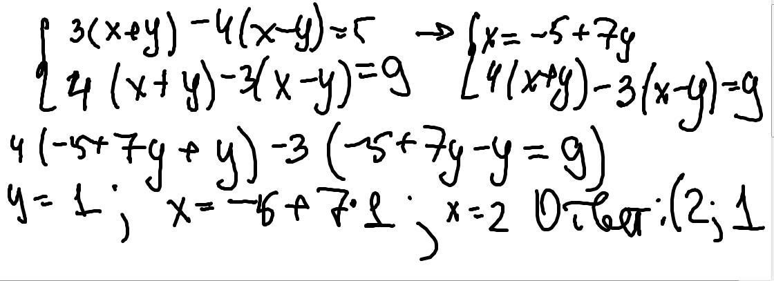
Ответ:

на фото

Объяснение:

Приложения:
Вас заинтересует