Ответы
Ответ дал:
1
Ответ: 9
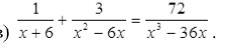
Объяснение: 1) переносимо все в ліву частину і міняємо знак на протилежний
2) розкладаємо знаменники на множники
3) зводимо до спільного знаменника
4) розкриваємо дужки
5) зводимо подібні члени
6) вирішуємо систему рівнянь
7) вирішуємо квадратне рівняння
8) записуємо корені і знаходимо відповідь
Приложения:

aropmaratoforvard:
дякую гарно записано і гарна умова
Вас заинтересует
1 год назад
1 год назад
3 года назад
8 лет назад