• Предмет: Алгебра
  • Автор: stantaroslav
  • Вопрос задан 8 лет назад

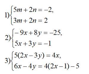
Розвяжіть системи методом додавання

Приложения:

Ответа на этот вопрос пока нет. Попробуйте найти его через форму поиска.

Вас заинтересует