Ответы
Ответ дал:
0
Ответ:
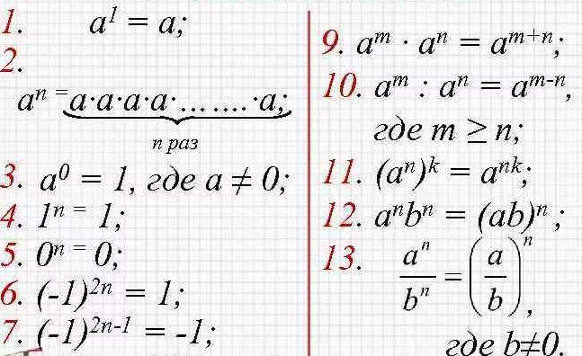
1. А)
2. Г)
3. Б)
4. А)
5. Б)
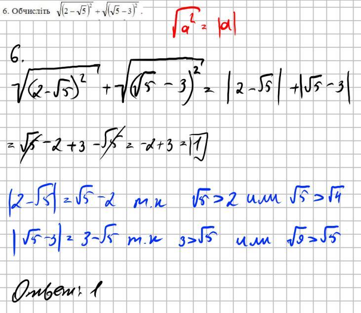
6. ответ:1
Объяснение:
Приложения:




Вас заинтересует
2 года назад
3 года назад
3 года назад
8 лет назад
8 лет назад
9 лет назад