• Предмет: Алгебра
  • Автор: alyamir96
  • Вопрос задан 8 лет назад

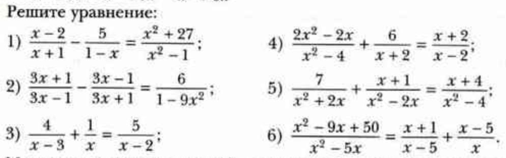
Ребят, помогите пожалуйста!

Приложения:

Ответа на этот вопрос пока нет. Попробуйте найти его через форму поиска.

Вас заинтересует