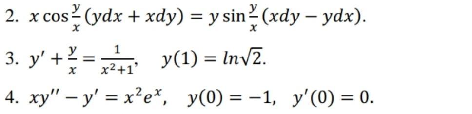
2. Однородное диф. Уравнение 1-го порядка
3. Метод Бернулли.
4. Задача Коши для диф. Уравнения 2-го порядка с явно отсутствующим у.
Приложения:

Ответа на этот вопрос пока нет. Попробуйте найти его через форму поиска.
Вас заинтересует
2 года назад
3 года назад
3 года назад
8 лет назад
8 лет назад
9 лет назад