• Предмет: Математика
  • Автор: Lagutinmitya
  • Вопрос задан 2 года назад

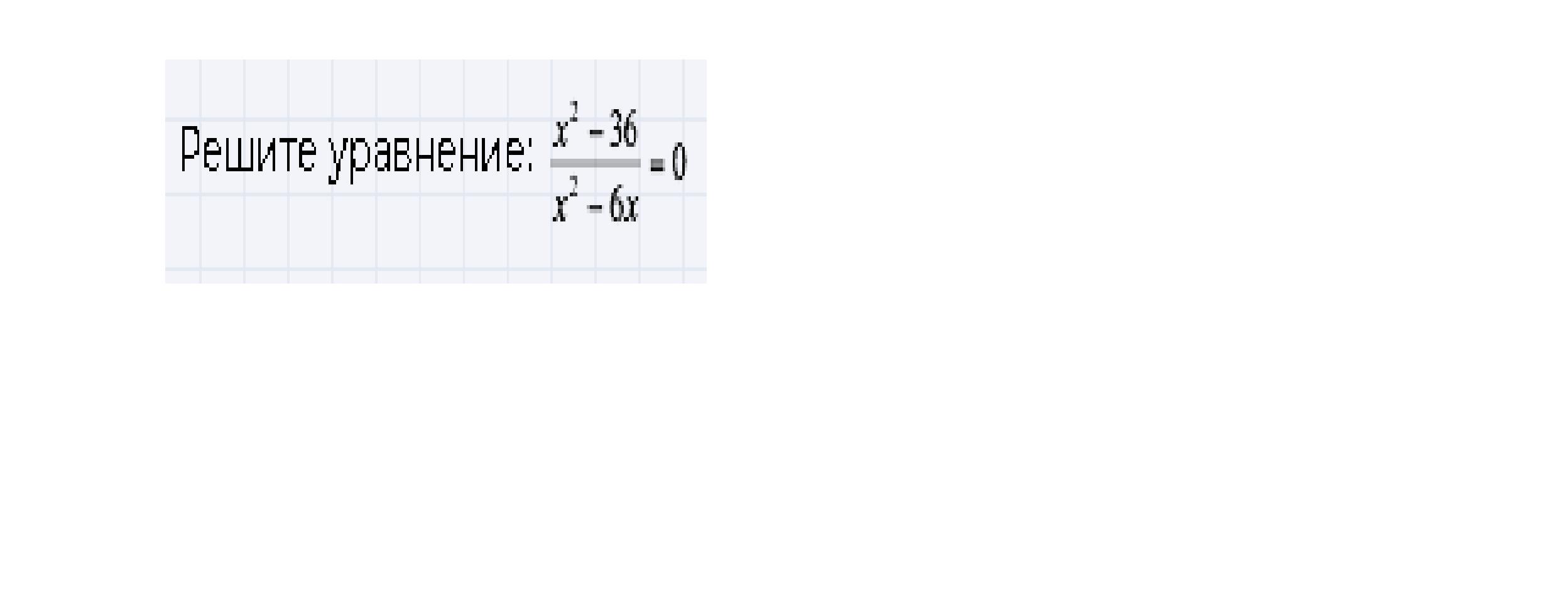
РЕШИТЕ УРАВНЕНИЕ, ЗАКРЕП

Приложения:

Ответы

Ответ дал: yusipnagirna
0

Відповідь:

х=-6

Покрокове пояснення:

х²-36/х²-6=0

х²-36/х²-6=0, х≠0,х≠6

(х-6)×(х+6)/х²-6х=0

(х-6)×(х+6)/х×(х-6)=0

скоротити дріб на х-6

х+6/х=0

х+6=0

х=-6, х≠0,х≠6

х=-6

Вас заинтересует