• Предмет: Математика
  • Автор: maksimarunicev
  • Вопрос задан 8 лет назад

(-2/3)в квадрате *2 целых 1/4*(-3), решите пожалуйста!

Ответы

Ответ дал: lebedae0999
0

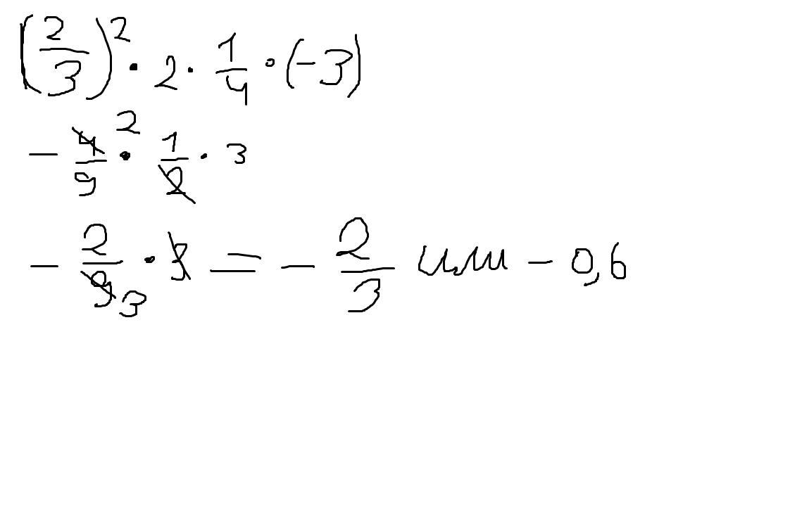
Ответ:

ответ в закрепе.

Пошаговое объяснение:

Приложения:
Ответ дал: monah2008
0
ответ -3. 4/9*/4*(-3)=1*(-3)= -3.
Ответ дал: matilda17562
0
2 1/4 и 2•1/4 - это разные вещи. В условии (-2/3)², у Вас этот минус потерян.
Ответ дал: brenovar3
0

Ответ:

-3

Пошаговое объяснение:

(-2/3)^2*2 1/4*(-3)=-3

1) (-2/3)^2=4/9

2) 4/9*2 1/4=4/9*9/4=1

3) 1*(-3)=-3

отметь мой ответ лучшим, пожалуйста!

Приложения:
Вас заинтересует