• Предмет: Алгебра
  • Автор: Лизавета2015
  • Вопрос задан 2 года назад

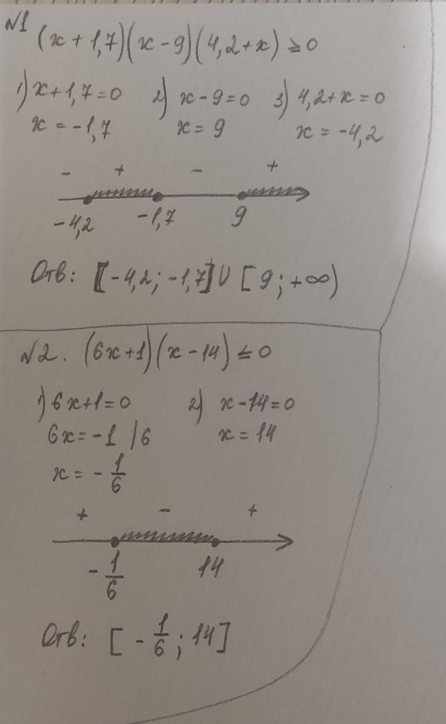
Решите неравенство методом интервалов:
б) (х + 1,7)(х – 9)(4,2 + х) >= 0
в) (6х + 1)(х – 14) <= 0
Очень срочно!!!

Ответы

Ответ дал: otsm
1

Объяснение:

....................

Приложения:
Ответ дал: nurullayevasamira
1

Ответ:

кажется. нужно. так.

Объяснение:

прошу прощения если где то ошиблась

Приложения:
Вас заинтересует