• Предмет: Алгебра
  • Автор: Sanness95
  • Вопрос задан 8 лет назад

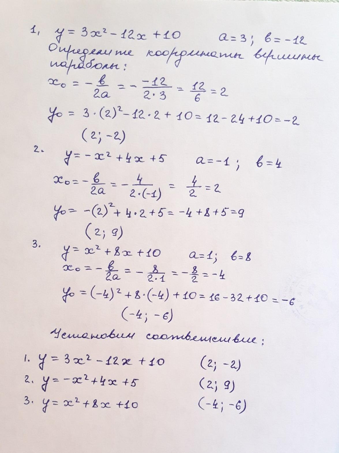
Установите соответствие между квадратичной функцией и координатами вершины.
y=3x^{2}-12x+10 (-4;-6)
y=-x^{2}+4x+5 (2;-2)
y=x^{2}+8x+10 (2;9)

Ответы

Ответ дал: sharofat0
0

Ответ:

Координаты вершины параболы.

Установите соответствие.

Приложения:
Вас заинтересует