• Предмет: Математика
  • Автор: sapogova03
  • Вопрос задан 8 лет назад

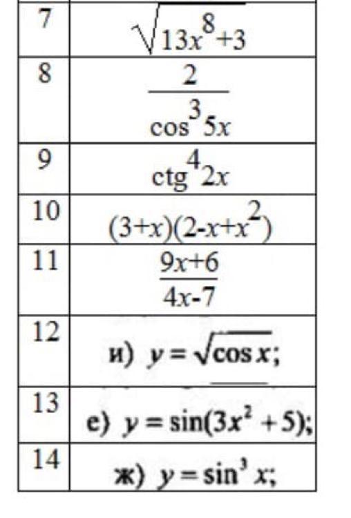
Ребят,помогите срочно пожалуйста,решить вычисление производных!!!

Приложения:

Ответа на этот вопрос пока нет. Попробуйте найти его через форму поиска.

Вас заинтересует