• Предмет: Математика
  • Автор: Генадий228
  • Вопрос задан 8 лет назад

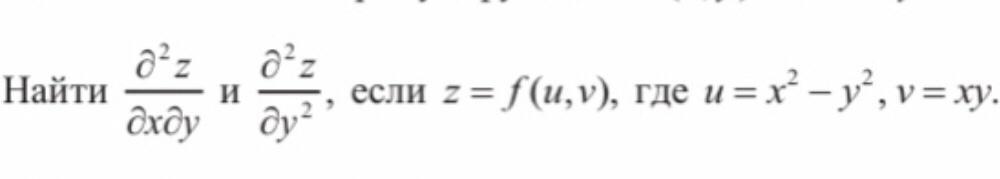
Как найти вторую частную и смешанную производную.

Приложения:

Ответа на этот вопрос пока нет. Попробуйте найти его через форму поиска.

Вас заинтересует