очень срочно! даю 40 баллов! алгебра!
Применить формулу разности
квадратов:
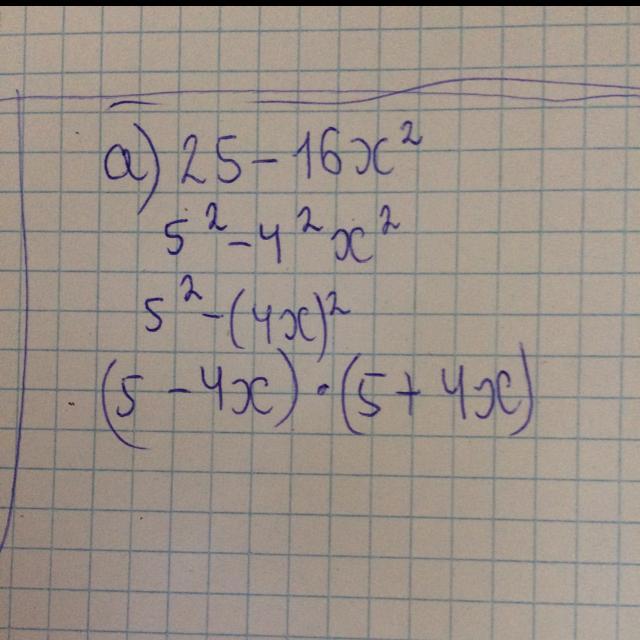
а) 25-16х^2
б) -n^2+b^2
в) 36p^2-c^2
г) 144y^2-16k^2
д) a^2c^4-9
Ответы
Ответ дал:
0
Ответ на фотке на фотке
Приложения:

Ответ дал:
0
а остальные?
Вас заинтересует
2 года назад
3 года назад
9 лет назад
9 лет назад