• Предмет: Алгебра
  • Автор: zarinabalkenova96
  • Вопрос задан 8 лет назад

ДАЮ 55 ИЛИ 23 БАЛЛА, ЭТО СОЧ, СРОЧНО​

Приложения:

Ответы

Ответ дал: ToRi737
0

номер1

4у+х³/(у-2)×(2у+6) = 4у+х³/2у²+6у-4у-12 = 4у+х³/2у²+2у-12 .

/- это означает дробь .

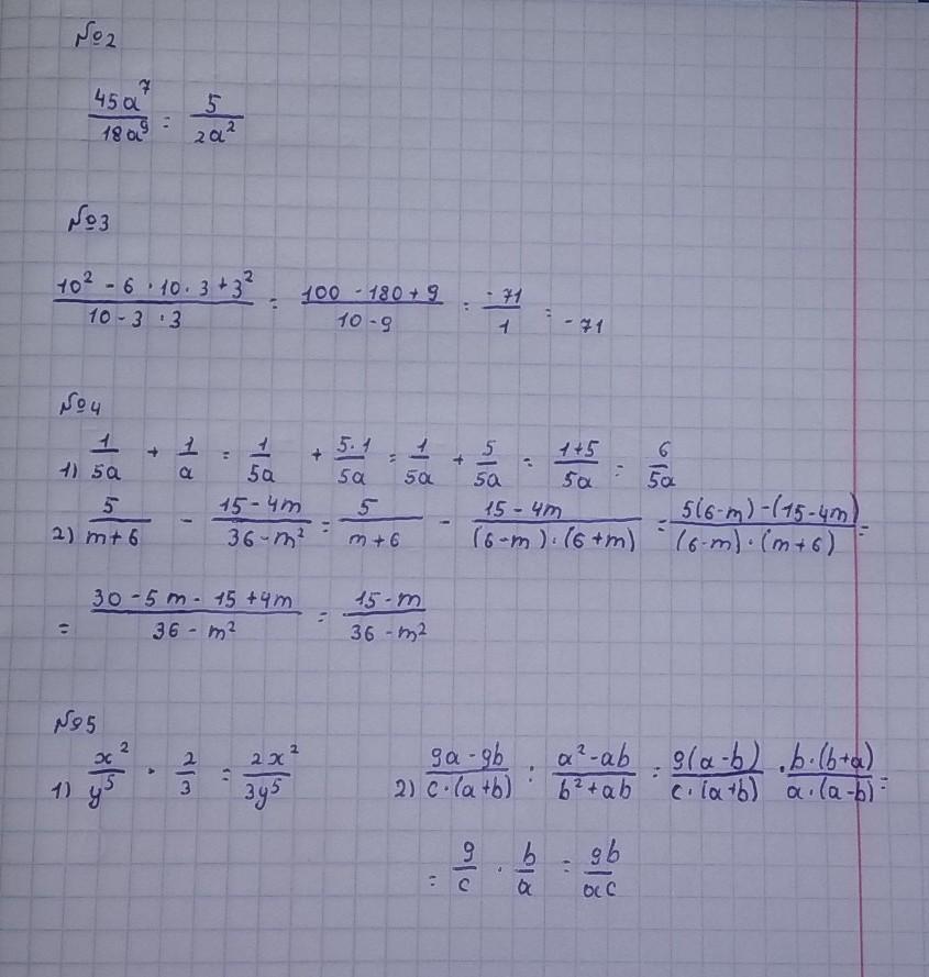
Остальные решения на фото

В номере пять в первом примере сначала напиши пример а потом это решение.

Остальное просто перепиши.

Приложения:
Вас заинтересует