• Предмет: Алгебра
  • Автор: ars0099
  • Вопрос задан 8 лет назад

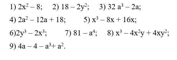
Самостоятельная работа по теме «Разложение многочленов на множители различными способами»



Приложения:

Ответа на этот вопрос пока нет. Попробуйте найти его через форму поиска.

Вас заинтересует