• Предмет: Математика
  • Автор: Аноним
  • Вопрос задан 2 года назад

Помогите сделать учи ру срочно

Приложения:

Ответы

Ответ дал: Аноним
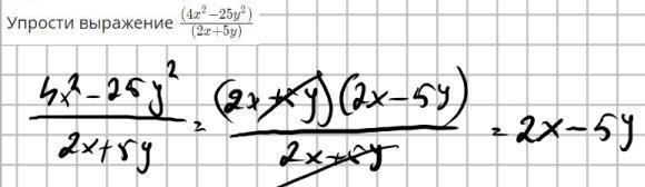
1

Ответ:

2x-5y

Пошаговое объяснение:

a^{2} -b^{2} =(a-b)(a+b)

Приложения:
Вас заинтересует