• Предмет: Алгебра
  • Автор: hazir20005droo
  • Вопрос задан 8 лет назад

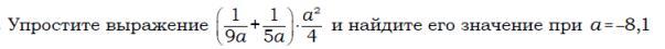
(1/9а+1/5а)*а^2/4 при а=-8,1

Приложения:

Ответа на этот вопрос пока нет. Попробуйте найти его через форму поиска.

Вас заинтересует