• Предмет: Математика
  • Автор: KhottyManatee55
  • Вопрос задан 8 лет назад

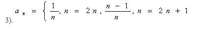
Напишите первые пять членов последовательности.

Приложения:

Ответа на этот вопрос пока нет. Попробуйте найти его через форму поиска.

Вас заинтересует