• Предмет: Алгебра
  • Автор: dobryyrat
  • Вопрос задан 8 лет назад

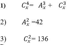
Желательно конечно решение на листочке, если не в падлу.

Приложения:

Ответа на этот вопрос пока нет. Попробуйте найти его через форму поиска.

Вас заинтересует