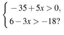
Решите систему неравенство и найдите множество системы неравенство. (решите как можно подробнее.)
Приложения:

Ответа на этот вопрос пока нет. Попробуйте найти его через форму поиска.
Вас заинтересует
2 года назад
2 года назад
8 лет назад
9 лет назад