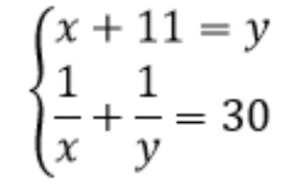
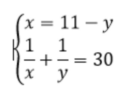
Один процессор выполняет некоторую работу на 11 минут быстрее другого процессора. Работая вместе, два процессора справляются с этой работой за 30 минут. За сколько минут справится с работой каждый процессор? Укажите систему уравнений, с помощью которой можно решить эту задачу.
Приложения:




Ответа на этот вопрос пока нет. Попробуйте найти его через форму поиска.
Вас заинтересует
2 года назад
3 года назад
8 лет назад
8 лет назад