Ответы
Ответ дал:
0
Ответ:
а) (2;-1)
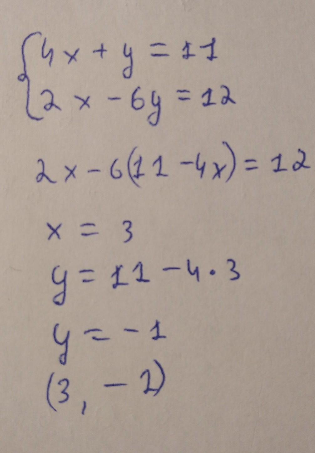
б) (3;-1)
Объяснение:
Можно лучший ответ, пожалуйста?
Приложения:


Вас заинтересует
2 года назад
2 года назад
8 лет назад
9 лет назад