пожалуйста помогите 20 баллов!!
Розв'яжи системи Способом підстановки
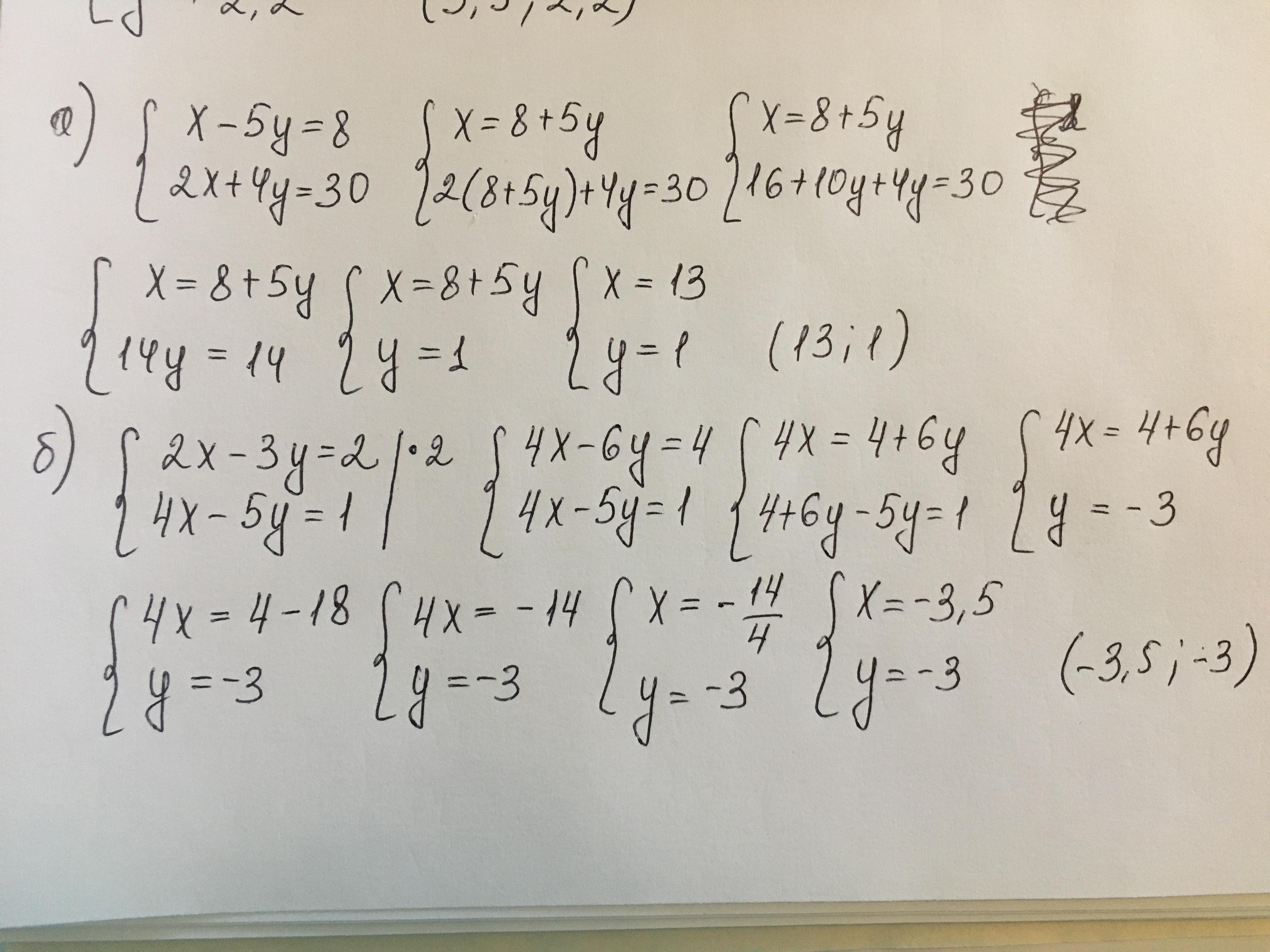
а). X--5y=8 I 2x+4y=30
б). 2x--3y=2i 4x--5y=1
Ответы
Ответ дал:
0
Ответ:
Решение в приложении
Объяснение:
Приложения:

Ответ дал:
0
Огромное спасибо!!
Вас заинтересует
2 года назад
3 года назад
3 года назад
8 лет назад
8 лет назад