• Предмет: Алгебра
  • Автор: Niworx
  • Вопрос задан 2 года назад

Упростите два этих выражения, срочно. Буду неимоверно благодарен.

Приложения:

Ответы

Ответ дал: Evklid61
0

Ответ:

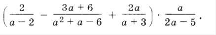
Общий знаменатель для скобок a^2+a-6 = (a+3)*(a-2)

Результат вычислений в скобках

2/(a-2)-(3*a+6)/(a^2+a-6)+2*a/(a+3) = a*(2*a-5)/(a+3)(a-2)

Умножение результата в скобках на дробь

a*(2*a-5)/((a+3)*(a-2))*(a/(2*a-5)) = a^2/(a+3)(a-2)

Ответ: a^2/((a+3)*(a-2))

Объяснение:

Вас заинтересует