• Предмет: Химия
  • Автор: 15Sabi
  • Вопрос задан 11 лет назад

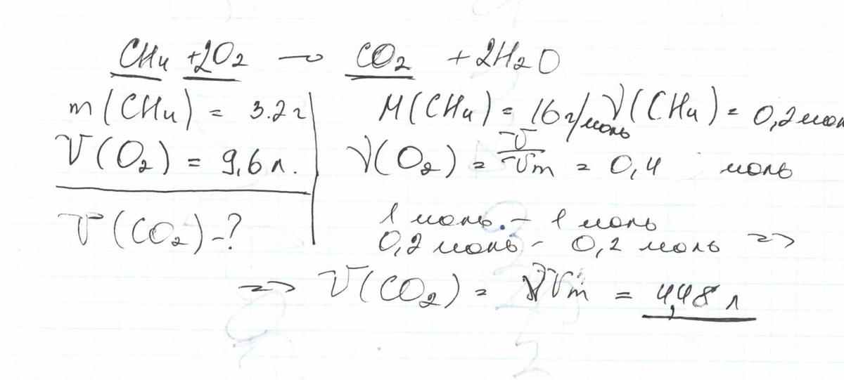
какой объем углекислого газа (н.у) получится при сжигании 3.2 г метана в 9.6 л кислорода (н.у)

Ответы

Ответ дал: AscarisLumbricoides
0
Можно и без кислорода обойтись. С отношением все так же получается.
Приложения:
Ответ дал: 15Sabi
0
спасибо)
Вас заинтересует