ПОМОГИТЕ ПОЖАЛУЙСТА
Решить уравнение способом подстановки, если не трудно напишите на бумаге
Приложения:

Ответы
Ответ дал:
1
не знаю , подстановка это или нет , но мне кажется , что так очень понятно )
Приложения:

Ответ дал:
0
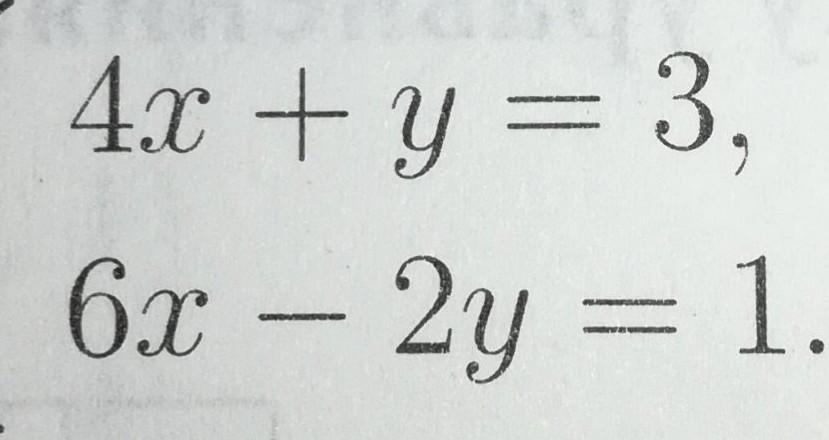
4х+у=3
6х-2у=1
у=3-4х
6х-2(3-4х)=1
у=3-4х
6х-6+8х=1
у=3-4х
14х=7
у=3-4*2
Х=2
у=-5
Х=2
Ответ:(2;-5)
Вас заинтересует
1 год назад
1 год назад
3 года назад
8 лет назад