• Предмет: Математика
  • Автор: Masamasa25
  • Вопрос задан 2 года назад

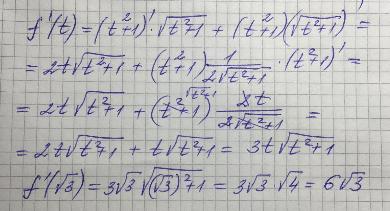
Решите производную )))))

Приложения:

Ответы

Ответ дал: milakhust
2

Ответ:

на фото

Пошаговое объяснение:

Приложения:
Вас заинтересует