• Предмет: Алгебра
  • Автор: rdjkk
  • Вопрос задан 8 лет назад

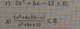
СРОЧНООО!!! Помогите решить хотя бы одно из этих примеров, пожалуйста!

Приложения:

Ответа на этот вопрос пока нет. Попробуйте найти его через форму поиска.

Вас заинтересует