• Предмет: Алгебра
  • Автор: winx20
  • Вопрос задан 2 года назад

Помогите пожалуйста :с​

Приложения:

Ответы

Ответ дал: nastyasharkova91
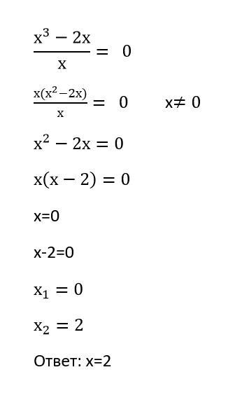
1

Ответ:

а) х=2 б) х ∈ ∅

Объяснение:

см картинки

Приложения:
Вас заинтересует