• Предмет: Алгебра
  • Автор: schevninamarina2012
  • Вопрос задан 2 года назад

Помогите пожалуйста по алгебре решить пример)

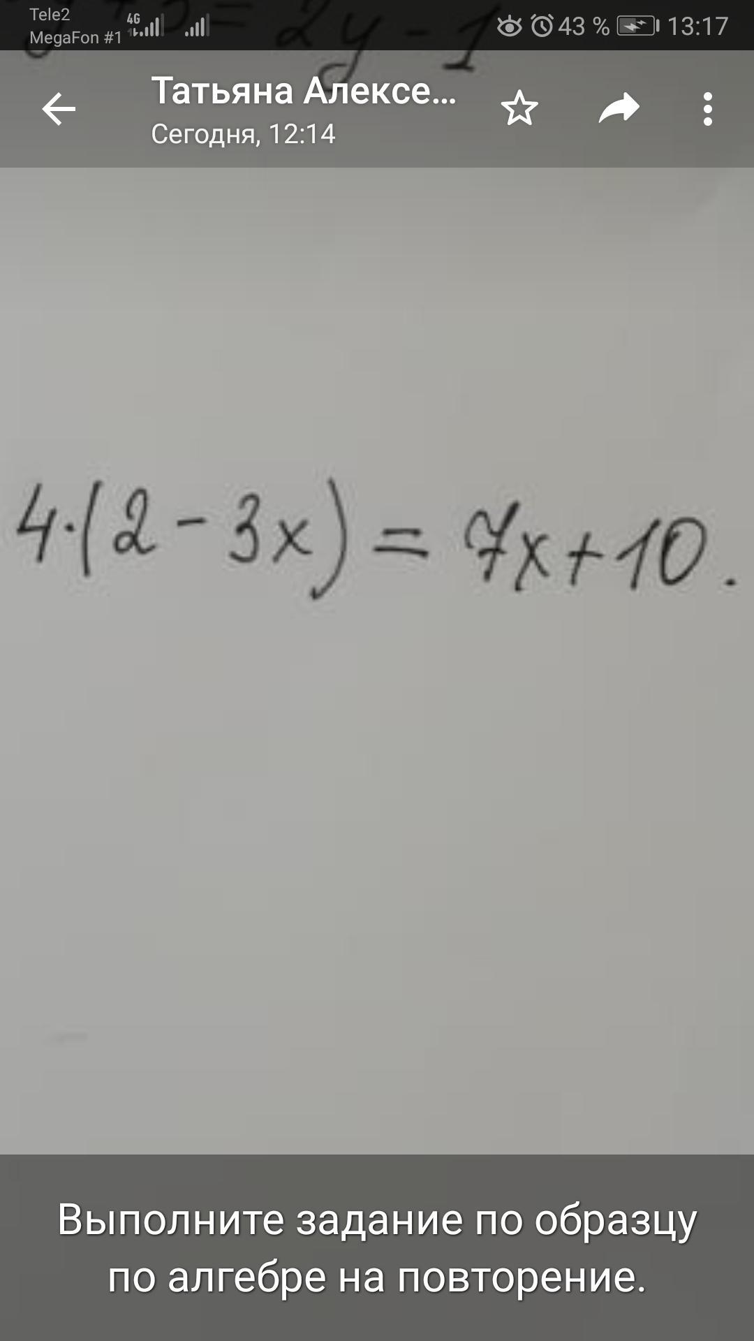
Приложения:

Ответы

Ответ дал: XSlithnikX
1

Ответ:

x = -\frac{2}{19}

Объяснение:

4*(2 - 3x) = 7x + 10

8 - 12x = 7x + 10

-19x = 2

x = -\frac{2}{19}

Вас заинтересует