• Предмет: Математика
  • Автор: DPDPDDP
  • Вопрос задан 8 лет назад

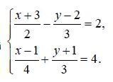
Помогите не могу решить 35 балов даю если можно то с решением не просто ответ)

Приложения:

Ответа на этот вопрос пока нет. Попробуйте найти его через форму поиска.

Вас заинтересует