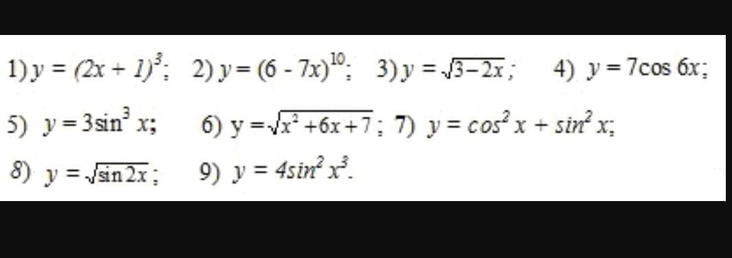
ДАЮ 15 БАЛЛОВ, СРОЧНО... АЛГЕБРА
Помогите, пожалуйста!!!!!!!!!!!
ЗНАЙТИ ПОХІДНІ ФУНКЦІЙ.
Нужны решения 4), 5), 7), 8), 9)
Прошу, пожалуйста, помогите
Приложения:

Ответа на этот вопрос пока нет. Попробуйте найти его через форму поиска.
Вас заинтересует
2 года назад
3 года назад
3 года назад
8 лет назад
9 лет назад