Ответы
Ответ дал:
0
Решение:
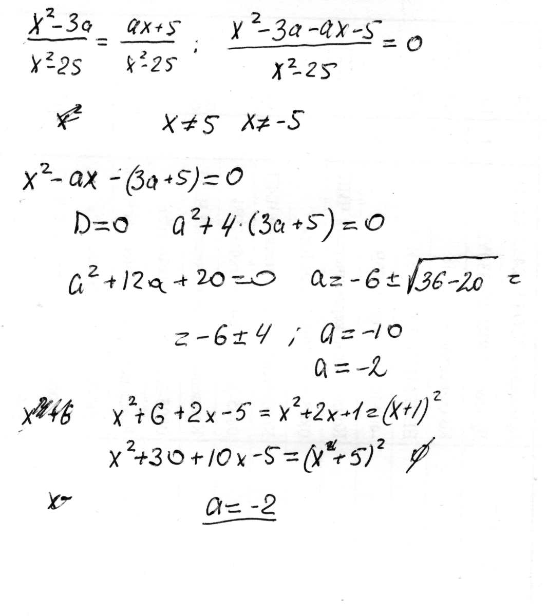
Смотри вложение:.....................
Смотри вложение:.....................
Приложения:

Ответ дал:
0
Так как квадратное уравнение имеет только один корень, когда дискриминант ее равен 0, как было выше сказано правильно ответ при a=-2
Приложения:

Вас заинтересует
2 года назад
2 года назад
8 лет назад
10 лет назад
10 лет назад
10 лет назад