• Предмет: Алгебра
  • Автор: MrFlash02
  • Вопрос задан 8 лет назад

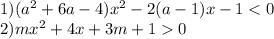
Прошу помощи , задание прикреплено

Приложения:

Ответа на этот вопрос пока нет. Попробуйте найти его через форму поиска.

Вас заинтересует