• Предмет: Алгебра
  • Автор: Mi1ina
  • Вопрос задан 8 лет назад

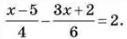
Розв`яжіть рівняння будь ласка!!!

Приложения:

Ответа на этот вопрос пока нет. Попробуйте найти его через форму поиска.

Вас заинтересует