• Предмет: Алгебра
  • Автор: xxxxxddddz
  • Вопрос задан 8 лет назад

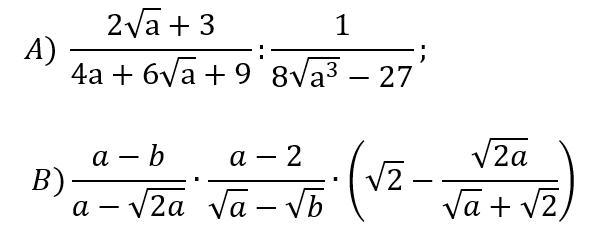
Упростите выражения
Помогите, пожалуйста. Заранее спасибо!!!

Приложения:

Ответа на этот вопрос пока нет. Попробуйте найти его через форму поиска.

Вас заинтересует