Народ прошу 100 балів!! Можна без розвязку!!
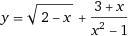
Знайдіть область визначення функції У відповідь запишіть найбільше ціле значення області визначення.
Приложения:

Ответы
Ответ дал:
0
Ответ:
2
Объяснение:
Как и просил, без решения.
ОДЗ такое:
(-бесконечности; -1) в объеденении (-1; 1) в объеденении (1; 2]
Ответ дал:
0
Ну да, 2.
Двойка входит в ОДЗ.
Двойка входит в ОДЗ.
Ответ дал:
0
Ответ:
найбільше ціле значення області визначення:2
Приложения:

Вас заинтересует
2 года назад
3 года назад
3 года назад
8 лет назад
8 лет назад
9 лет назад