• Предмет: Алгебра
  • Автор: germani74
  • Вопрос задан 8 лет назад

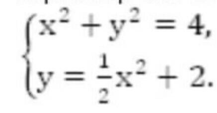
Помогите пожалуйста даю 50 баллов прошу умоляю​

Приложения:

Ответы

Ответ дал: An0nUm
0

Ответ:ответ (0;-2)

Объяснение:

Вас заинтересует