• Предмет: Математика
  • Автор: ksjdjsjj
  • Вопрос задан 8 лет назад

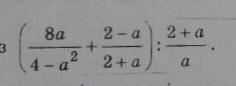
Спростить вираз !!!!!!ПЖ

Приложения:

Ответы

Ответ дал: alihan11299002
0

Ответ:

700450448548488118888188444842

Вас заинтересует