Даю 100Б.Помогите пожалуйста:
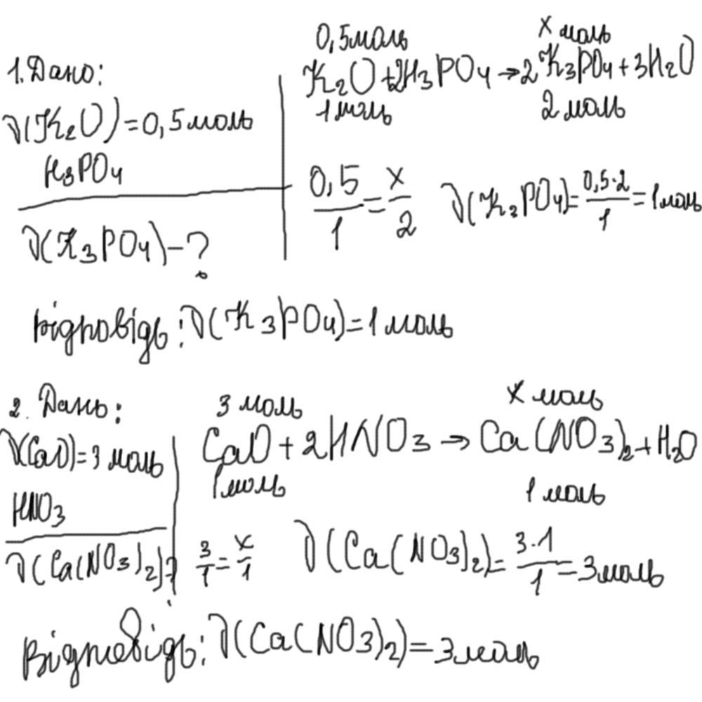
записати рішення задач: 1 задача ( 0,5 моль калій оксиду); задача № 2 (0,3 моль кальцій оксиду ,що реагує з нітратною кислотою)
Вот перевод:
Записать решение задач: 1 задание (0,5 моль калий оксида) задача № 2 (0,3 моль кальций оксида, что реагирует с азотной кислотой)
Приложения:

Ответы
Ответ дал:
0
Відповідь до задачі №1. 1 моль К3РО4
Відповідь до задачі №2. 3 моль Са(NO3)2
Приложения:

Ответ дал:
0
пон,спс
Вас заинтересует
2 года назад
2 года назад
3 года назад
3 года назад
8 лет назад
8 лет назад
9 лет назад