Ответы
Ответ дал:
0
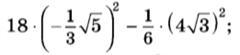
Ответ:
фотооооо..............
Приложения:


Ответ дал:
0
Очень надо
Ответ дал:
0
Photomath
Ответ дал:
0
не за что
Вас заинтересует
2 года назад
2 года назад
3 года назад
3 года назад
8 лет назад
8 лет назад
9 лет назад