Ответы
Ответ дал:
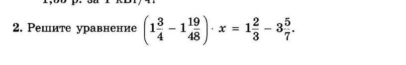
0
Ответ:
фотоооо.............
Приложения:


Ответ дал:
0
А все нашла
Вас заинтересует
2 года назад
3 года назад
3 года назад
8 лет назад
8 лет назад
9 лет назад