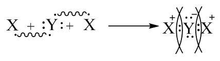
1) Натрий
2) Водород
3) Сера
4) Хлор
5) Углерод
Химический элемент Х – ответ - ?
Химический элемент Y – ответ -?
Приложения:
Ответа на этот вопрос пока нет. Попробуйте найти его через форму поиска.
Вас заинтересует
2 года назад
3 года назад
3 года назад
9 лет назад
9 лет назад
10 лет назад
10 лет назад