Ответы
Ответ дал:
1
Ответ 5, правило со степенями
Jtyan:
я в курсе, просто считать лень очеееень
Ответ дал:
1
Ответ:
5
Объяснение:
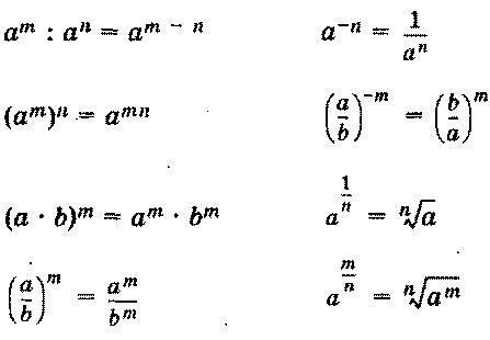
Вот как то так. Всё решается по св-ву степеней. Надеюсь помог. Чмок.
Приложения:


Вас заинтересует
1 год назад
1 год назад
1 год назад
3 года назад
8 лет назад
8 лет назад