• Предмет: Алгебра
  • Автор: milpioplrptt
  • Вопрос задан 2 года назад

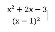
Скоротіть дріб
Умоляю срочно

Приложения:

Ответы

Ответ дал: Kris000011
0

Ответ:

x+3/x-1

Объяснение:

=x^2+3x-x-3/(x-1)^2=x(x+3)-(x+3)/(x-1)^2=(x+3)(x-1)/(x-1)^2=x+3/x-1

Ответ дал: Nickname987
1

Ответ:

\frac{x+3}{x-1}

Объяснение:

\frac{x^{2} +2x-3}{(x-1)^{2} }

\frac{x^{2}+3x-x-3 }{(x-1)^{2} }

\frac{x(x+3)-(x+3)}{(x-1)^{2} }

\frac{(x+3)(x-1)}{x-1}

\frac{x+3}{x-1}

Вас заинтересует