Упрастите выражение:
(1-sin2L)(1+ctg2L)
P.S синус квадрат альфа и катангенс квадрат альфа буду очень благодарен
Ответы
Ответ дал:
0
P.S синус квадрат альфа и катангенс квадрат альфа буду очень благодарен
Упрастите выражение:
(1-sin2L)(1+ctg2L)
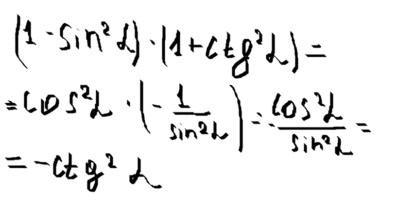
Упрастите выражение:
(1-sin2L)(1+ctg2L)
Приложения:

Ответ дал:
0
Значит все выражение равно сtg^2 альфа
Приложения:

Вас заинтересует
2 года назад
2 года назад
8 лет назад
10 лет назад
10 лет назад
10 лет назад
10 лет назад